library(tidyverse)
library(skimr)For Question 1, run the following function to read the
county_data.csv file:
county_data <- read_csv(
'https://bcdanl.github.io/data/county_data.csv'
)You need to provide the absolute path name for the file,
dominick_oj_q1a.csv to the above read_csv()
function to read the file.
id: FIPS State and County code
name: State or County Name
state: State abbreviation
census_region: Census region
pop_dens: Population density per square mile, 2014
estimate
pct_aa: Percent African American population, 2014
estimate
pop: Population, 2014 estimate
female: Female persons, percent, 2013
caucasian: Caucasian alone, percent, 2013
african_american: African American alone, percent,
2013
travel_time: Mean travel time to work (minutes),
workers age 16+, 2009-2013
land_area: Land area in square miles, 2010
hh_income: Median household income,
2009-2013
fips: FIPS code
votes_dem_2016: Provisional count of Democratic
votes in the 2016 Presidential election.
votes_gop_2016: Provisional count of Republican
votes in the 2016 Presidential election.
total_votes_2016: Provitional count of votes cast in
the 2016 Presidential election.
partywinner12: Winning party, 2012 Presidental
Election.
Move the column ‘fips’ to the first and remove column ‘id’.
q1a <- county_data %>%
select(fips, everything()) %>%
select(-id)Provide both (1) ggplot codes and (2) a simple comment to describe
the probability distribution of african_american.
ggplot(county_data) +
geom_density(aes(x = african_american))
The distribution of the variable african_american is
right-skewed.
It ranges from 0.00% to 85.00%.
The values around 2-3% are most likely for the value for
african_american in US counties.
Provide both (1) ggplot codes and (2) a simple comment to describe
how the probability distribution of african_american varies
by census_region.
ggplot(county_data) +
geom_density(aes(x = african_american)) +
facet_grid( . ~ census_region)
- The variable african_american are likely to be higher in
South and Northeast of
census_region than Midwest and
West of census_region.
Provide both (1) ggplot codes and (2) a simple comment to describe
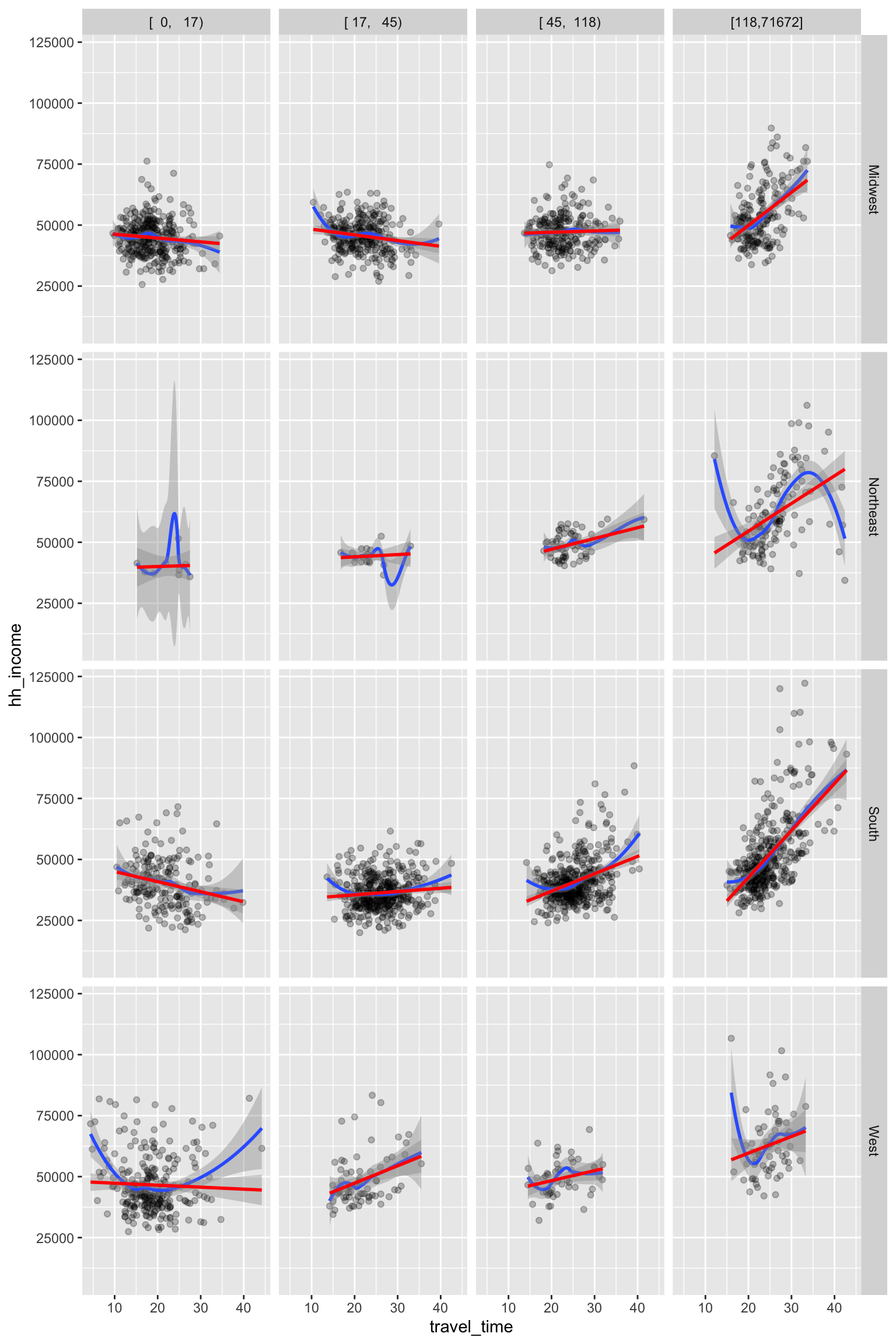
the relationship between travel_time and
hh_income.
ggplot(county_data,
aes(x = travel_time, y = hh_income)) +
geom_hex() +
geom_smooth() + geom_smooth(method = lm, color = 'red') 
travel_time and hh_income are negatively
associated overall.
travel_time.Provide both (1) ggplot codes and (2) a simple comment to describe
how the relationship between travel_time and
hh_income varies by pop_dens.
ggplot(county_data,
aes(x = travel_time, y = hh_income)) +
geom_point(alpha = .1) +
geom_smooth() + geom_smooth(method = lm, color = 'red') +
facet_grid(.~pop_dens)
For low level of pop_dens, travel_time
and hh_income are negatively associated.
For high level of pop_dens, travel_time
and hh_income are positively associated.
The relationship between travel_time and
hh_income seems to become more positive as
pop_dens increases.
Provide both (1) ggplot codes and (2) a simple comment to describe
how the relationship between travel_time and
hh_income varies by pop_dens and
census_region.
ggplot(county_data,
aes(x = travel_time, y = hh_income)) +
geom_point(alpha = .25) +
geom_smooth() + geom_smooth(method = lm, color = 'red') +
facet_grid(census_region~pop_dens)
census_region.For Question 2, run the following R command to read the music data file.
spotify_all <- read_csv('https://bcdanl.github.io/data/spotify_all.csv')
spotify_allFind the ten most popular song. Who are artists for those ten most popular song?
q2a <- spotify_all %>%
count(artist_name, track_name) %>%
arrange(-n) %>%
head(10)
q2aartist_name and track_name—that
most frequently appears in the data.frame spotify_all.q2b <- spotify_all %>%
group_by(artist_name) %>%
mutate(n_popular_artist = n()) %>%
ungroup() %>%
mutate( artist_ranking = dense_rank( desc(n_popular_artist) ) ) %>%
filter( artist_ranking <= 5) %>%
group_by(artist_name, track_name) %>%
mutate(n_popular_track = n()) %>%
group_by(artist_name) %>%
mutate(track_ranking = dense_rank( desc(n_popular_track) ) ) %>%
filter( track_ranking <= 2) %>% # I just wanted to see the top two tracks for each artist
select(artist_name, artist_ranking, n_popular_artist, track_name, track_ranking, n_popular_track) %>%
distinct() %>%
arrange(artist_ranking, track_ranking)
q2bThis example assumes that the most popular artist is the
artist—the value of artist_name—that most frequently
appears in the data.frame spotify_all.
This example assumes that the most popular song is the song—a
combination of artist_name and track_name—that
most frequently appears in the data.frame
spotify_all.
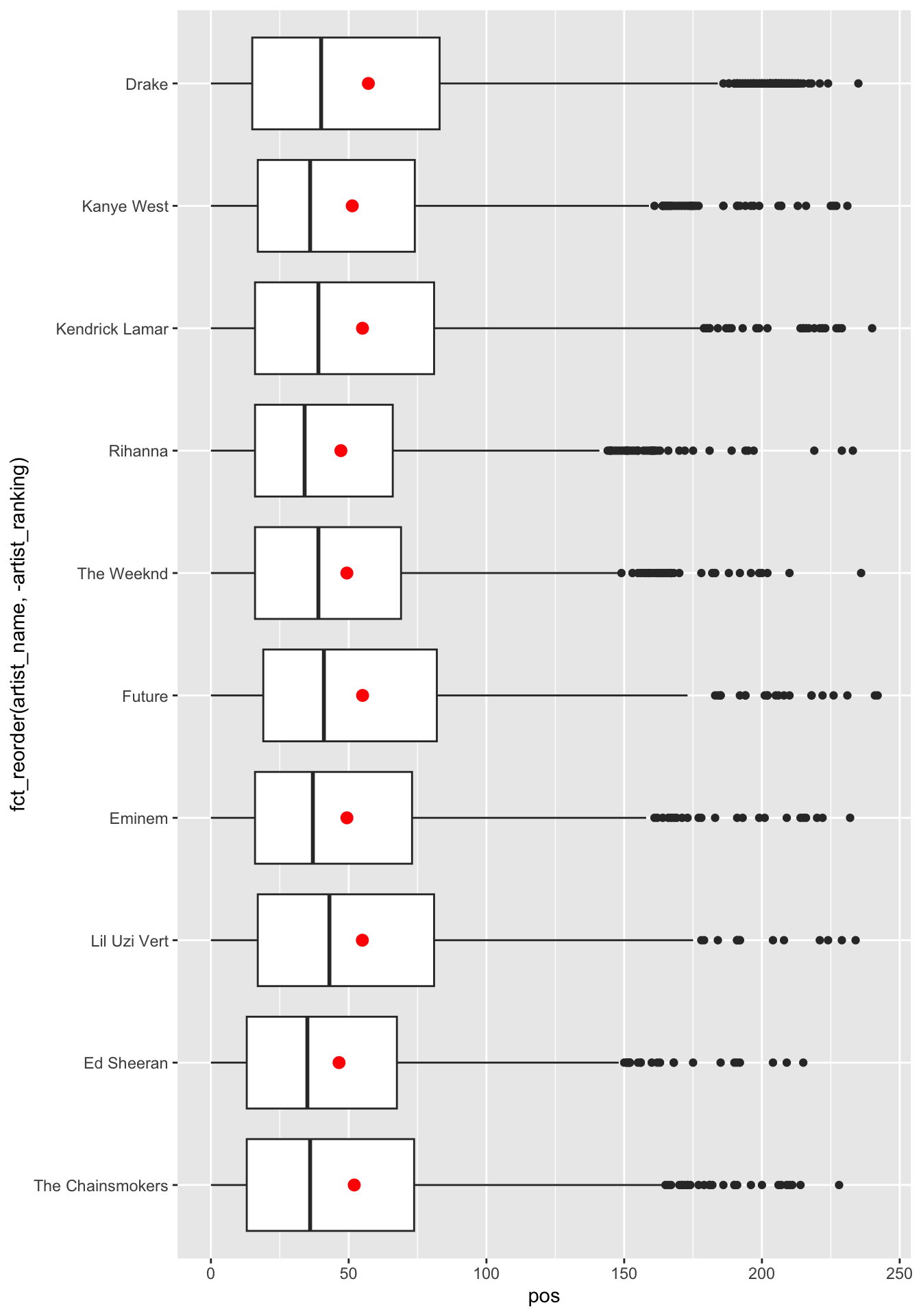
Provide both (1) ggplot codes and (2) a couple of sentences to
describe the relationship between pos and the ten most
popular artists.
q2c <- spotify_all %>%
group_by(artist_name) %>%
mutate(n_popular_artist = n()) %>%
ungroup() %>%
mutate( artist_ranking = dense_rank( desc(n_popular_artist) ) ) %>%
filter( artist_ranking <= 10)
# boxplot
ggplot(q2c,
aes(x = pos, y = fct_reorder(artist_name, -artist_ranking)) ) +
geom_boxplot() +
stat_summary(
fun = mean,
color = 'red'
)
# density
ggplot(q2c) +
geom_density(aes(x = pos)) +
facet_grid(fct_reorder(artist_name, artist_ranking) ~ . , switch = "y") +
theme(strip.text.y.left = element_text(angle = 0))
# histogram
ggplot(q2c) +
geom_histogram(aes(x = pos), binwidth = 1) +
facet_grid(fct_reorder(artist_name, artist_ranking) ~ . , switch = "y") +
theme(strip.text.y.left = element_text(angle = 0))
The relationship between pos and the ten most
popular artists can be described by how the distribution of
pos varies across the ten most popular artists.
The distribution of pos does not seem to vary a lot
across the ten most popular artists.
Anything noticeable can be mentioned.
Create the data frame with pid-artist level
of observations with the following four variables:
pid: playlist idplaylist_name: the name of the playlistartist: the name of the track’s primary artist, which
appears only once within a playlistn_artist: the number of occurrences of artist within a
playlistq2d <- spotify_all %>%
count(pid, playlist_name, artist_name) %>%
rename(n_artist = n) %>%
arrange(pid, -n_artist, artist_name)
q2dDownload the compressed file, ca_housing.zip, from
the Files section in our Canvas web-site.
Extract the file, ca_housing.zip, so that you can
use the file, california_housing.csv.
Read the data file, california_housing.csv, as the
data.frame object with the name, ca_housing, using (1) the
read_csv() function and (2) the absolute path name of the
file, california_housing.csv, from your local hard disk
drive in your laptop.
ca_housing <- read_csv(
'/Users/byeong-hakchoe/Google Drive/suny-geneseo/teaching-materials/lecture-data/california_housing.csv'
)
ca_housingReport the mean, median, minimum, maximum, and standard deviation for
the variable, medianHouseValue, in the data.frame,
ca_housing.
skim(ca_housing$medianHouseValue)| Name | ca_housing$medianHouseVal… |
| Number of rows | 20640 |
| Number of columns | 1 |
| _______________________ | |
| Column type frequency: | |
| numeric | 1 |
| ________________________ | |
| Group variables | None |
Variable type: numeric
| skim_variable | n_missing | complete_rate | mean | sd | p0 | p25 | p50 | p75 | p100 | hist |
|---|---|---|---|---|---|---|---|---|---|---|
| data | 0 | 1 | 206855.8 | 115395.6 | 14999 | 119600 | 179700 | 264725 | 500001 | ▅▇▅▂▂ |
Calculate the correlation between housingMedianAge and
medianHouseValue.
cor(ca_housing$housingMedianAge, ca_housing$medianHouseValue)## [1] 0.1056234